Aplicación de la Electrónica Molecular en el aprovechamiento de la energía solar
Mariana Gómez, una de las ganadoras del XI Concurso Anáhuac México de carteles de investigación, abordó el tema de la electrónica molecular en la fabricación de celdas solares usando semiconductores orgánicos.
El Concurso Anáhuac México de Carteles de Investigación es un evento dirigido a alumnos de licenciatura y posgrado que organiza la Dirección de Investigación para promover la investigación entre alumnos de la Universidad Anáhuac México.
El cartel es uno de los productos más comunes en investigación como resultado del estudio científico de algún tema. Su objetivo es comunicar con mucha claridad y precisión, en un mínimo de palabras y elementos gráficos, la información esencial de una investigación.
Se trata, por tanto, de un ejercicio de síntesis. Por ello, aquí te presentamos uno de los carteles finalistas del XI Concurso Anáhuac México de Carteles de Investigación, la edición de mayor participación histórica con 213 carteles inscritos (125 en la categoría de Licenciatura y 88 en la de Posgrado) que fueron analizados y evaluados por 35 investigadores.
Mariana Gómez Gómez, alumna del 6° semestre de Ingeniería Mecatrónica, abordó el tema de la electrónica molecular en la fabricación de celdas solares usando semiconductores orgánicos, que son menos agresivos para el medio ambiente, además de que su fabricación es simple y económica.
Aplicación de la Electrónica Molecular en el aprovechamiento de la energía solar
Introducción
Uno de los métodos más comunes para generar energía limpia es a través de celdas solares. Este procedimiento tiene numerosos beneficios como el uso de energía renovable y amigable con el medio ambiente, sin embargo, también tiene desventajas, como el uso de materiales altamente contaminantes. Por lo anterior, la electrónica molecular ha propuesto la fabricación de celdas solares usando semiconductores orgánicos, que son menos agresivos para el medio ambiente, además de que su fabricación es simple y económica.
Objetivo
Utilizar ftalocianina de zinc (ZnFt) como dopante de derivados orgánicos de la antraquinona. Estos compuestos, al ser dopados, se transforman en semiconductores orgánicos. Con estos materiales fabricar películas flexibles y evaluar su comportamiento eléctrico y óptico al formar parte de los dispositivos solares.
Metodología
Se agregaron 200 mg de ZnFt a 200 mg de DAQ (1,4-diaminoantraquinona C 14 H 10 N O) (compuesto Ia), AQDH (Ácido antraflávico: C 1 4 H 8 O 4) (compuesto Ib) y EAQ (2-etilantraquinona: C 16 H 12 O 2) (compuesto Ic) respectivamente, y se disolvieron en etanol absoluto. El dopaje se llevó a cabo durante 25 minutos a 423 K en un reactor Monowave 50. Estos semiconductores se depositaron como películas, con ayuda de un sistema de evaporación a un vacío de 10-5 torr. El depósito se realizó sobre sustratos de silicio monocristalino, cuarzo, vidrio Corning y tereftalato de polietileno (PET). Se fabricaron dispositivos flexibles como los mostrados en la Figura 1 que fueron evaluados por el método de 4 puntas.
Figura 1. Representación de las estructuras investigadas y los dispositivos flexibles(PET/ITO/semiconductor dopado/Ag).
Resultados
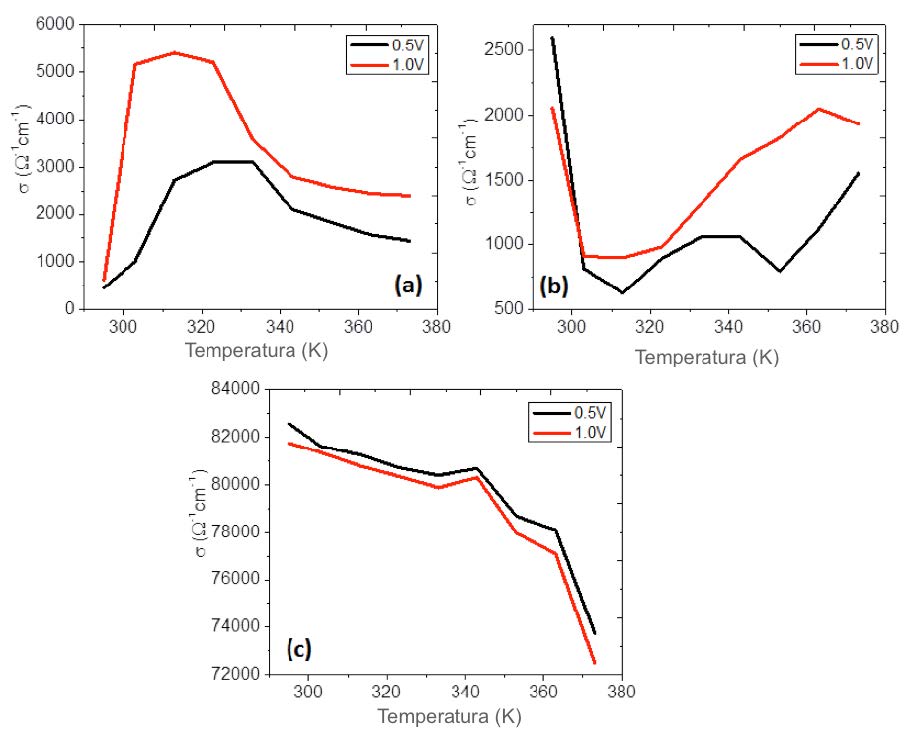
Se evaluó la corriente eléctrica en función de la temperatura para obtener la conductividad eléctrica en los dispositivos. A medida que aumenta la temperatura, el semiconductor aumenta su actividad eléctrica. A temperatura ambiente, se observa una disminución en la conductividad eléctrica y alrededor de 305 K la conductividad eléctrica aumenta. Finalmente, se muestra un conductor eléctrico.
Figura 2. Gráficos de σ-T obtenidos para los dispositivos flexibles(PET/ITO/semiconductor dopado/Ag) con (a) Ia, (b) Ib y (c) Ic como capa activa.
La energía de activación óptica (Eg), controla la eficiencia de la absorción de luz en las células solares orgánicas. El Eg asociado a las películas se determina mediante una extrapolación de la tendencia lineal observada en la dependencia espectral de (αhν)^1/2 en un rango limitado de energías de fotones (hν).
El coeficiente de absorción (α) y la frecuencia (ν) se obtienen experimentalmente del espectro UV-vis, así como también el grosor de la película, mientras que h es la constante de Planck. Para semiconductores orgánicos considerados en dispositivos fotovoltaicos se deben presentar valores entre 1.5 y 4.0 eV. Los valores determinados para las películas en este trabajo caen dentro de este rango.
Tabla 1. Energías de activación óptica de películas deantraquinona dopadas
Conclusiones
Se obtuvieron semiconductores orgánicos, que pueden usarse como películas en la fabricación de dispositivos solares flexibles. Los semiconductores con DAQ y DHAQ (Ia y Ib) muestran un aumento considerable en la conductividad al ser dopados. Después del recocido, las películas no sufrieron degradación química, aunque su energía de activación óptica disminuyó. Los resultados muestran que las películas semiconductoras a base de antraquinona se pueden usar en la fabricación de dispositivos optoelectrónicos como los dispositivos fotovoltaicos.
Referencias
• Fouriaux, S.; Armand, F.; Araspin, O.; Ruaudel-Teixier, A.; Maya, E.; Vázquez, P.; Torres, T. Effect of the Metal on the Organization of Tetraamidometallophthalocyanines in Langmuir−Blodgett Films. J. Phys. Chem. 1996, 100 (42), 16984 16988; DOI: https://doi.org/10.1021/jp961225s
• Alamri, S.N.; Joraid, A.A.; Al-Raqa, S.Y. Structural and optical properties of thermally evaporated 1,4,8,11,15,18,22,25-octahexylphthalocyanine thin films. Thin Solid Films. 2006, 510, 265-270; DOI: http://dx.doi.org/10.1016/j.tsf.2005.12.303
• El-Nahass, M.M.; Abd-El-Rahman, K.F.; Al-Ghamdi, A.A.; Asiri, A.M. Optical properties of thermally evaporated tin-phthalocyanine dichloride thin films, SnPcCl2. Phys. B. 2004, 344, 398-406; DOI: http://dx.doi.org/10.1016/j.physb.2003.10.019
• Seoudi, R.; El-Bahy, G.S.; El Sayed, Z.A. FTIR, TGA and DC electrical conductivity studies of phthalocyanine and its complexes. J. Mol. Struct. 2005, 753 (1), 119–126; DOI: https://doi.org/10.1016/j.molstruc.2005.06.003
Da clic aquí para consultar el cartel de investigación “Aplicación de la Electrónica Molecular en el aprovechamiento de la energía solar” de Mariana Gómez Gómez, alumna del 6° semestre de Ingeniería Mecatrónica.
A lo largo de las siguientes semanas estaremos compartiendo las investigaciones finalistas del XI Concurso Anáhuac México de Carteles de Investigación.
Más información:
Dirección de Investigación
Dr. José Rodrigo Pozón López
jose.pozon@anahuac.mx

